化學發光標記技術及影響因素
化學發光標記技術按照標記反應的過程和形成結合物的結構特點,可分為直接偶聯和間接偶聯兩種方式。直接偶聯是指通過偶聯反應使標記物分子中的反應基團直接連接在被標記物分子的反應基團上。間接偶聯的特點是在標記物與被標記物之間插入一條鏈或一個基團,使兩種物質通過引進的“橋”連接成結合物。通過插入“橋”可以在原有的結構中引進新的活性基團、增加反應活性,還可以減弱參與偶聯雙方存在的空間阻礙效應。小分子物質結合物主要通過偶聯反應制備;大分子物質結合物主要交聯劑使標記物與被標記物結構中的游離的氨基、羧基、咪唑基、酚基、羥基等形成不可逆連接。
常用的標記技術有以下幾種:
1.碳二亞胺縮合法
水溶性碳二亞胺成功的用于制備大分子-大分子或大分子-半抗原衍生物的交聯結合物。經過碳二亞胺縮合反應,蛋白質分子中的游離羧基能與發光劑分子中的氨基形成較為穩定的酞胺鍵。反應條件比較溫和,應用范圍廣。結構中含有羧基或氨基的標記物均可選用此方法進行標記。可供使用的縮合劑有:二環己基碳二亞胺(DCC)、1-乙基-3-(3-二甲氨基丙基)-碳二亞胺-HCI(EDC)等。

2.重氮鹽偶聯法
此法也稱為“重氮化法”是在酸性和低溫條件下,用亞硝酸鹽將發光劑的伯氨基重氮化得到重氮鹽。再與蛋白質作用生成發光劑-蛋白質結合物。蛋白質分子能偶合重氮鹽的位置有酪氨酸殘基上酚羥基鄰位,組氨酸殘基的咪唑環、色氨酸殘基的吲哚環等。
重氮化反應用于標記發光劑具有簡便易行、成本低、重復性好等優點。但因反應是建立在NO2-與-NH2作用的原理上,若標記物結構中無伯氨基則不易選用此方法。同時因脂肪族伯氨基與NO2-的反應產物不穩定,易分解。所以,像ABEI、AHEI等伯氨基位于側鏈的發光劑也不能選用此法進行直接標記。這使重氮化法的應用受到一定的限制。

3.混合酸酐法
結構中含有羧基的分子(標記物或被標記物)在三乙胺或正三丁胺等的存在下與氯甲酸酯類反應,生成活潑的混合酸酐中間體。混合酸酐能與另一分子的氨基反應形成酰胺鍵連接的共價化合物。目前采用的氯甲酸甲酯類有氯甲酸乙酯、氯甲酸異丁酯等。

4.N-羥基琥珀酰亞胺活化法
一些結構中含有羧基的抗原,經過N-羥基琥珀酰亞胺活化后再與發光劑的氨基偶聯成酰胺鍵。含有羧基的發光劑和催化劑(如血紅素類)也可以經過活化用來與抗原的氨基偶聯。

5.過碘酸鹽氧化結合法
此方法也稱為“過碘酸鈉法”。先是利用過碘酸鹽氧化糖蛋白中糖基的鄰二羥基成為醛基,然后醛基與伯氨基反應形成Schiff堿。Schiff堿經NaBH4還原-N=C-鍵成為穩定的結合物。
過碘酸鈉法也可用于酶免疫測定中制備酶標結合物。醛氨縮合成的Schiff堿經NaBH4還原后的單鍵穩定性好,標記物不易脫落。凡含有芳香伯胺或脂肪伯胺的標記物都可以選用此法。但因過碘酸鈉法的氧化反應需有鄰二羥基存在,所以不適用于無糖基的蛋白質。對于某些雖含有糖基,但氧化糖基后會影響免疫學性質的物質,也不易選用過碘酸鈉法進行標記。

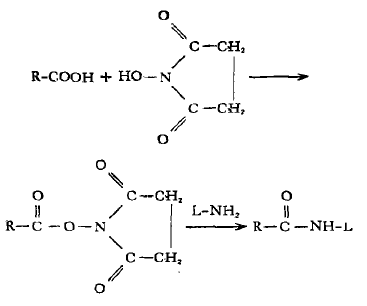
6.環內酸酐法
通常用琥珀酸酐作為連接的“橋”,所以又稱為“琥珀酸酐法”。利用環內酸酐與分子中的羥基或氨基反應形成半酯或半酰胺。在經過碳二亞胺法或混合酸酐法使其與另一分子中的氨基作用形成酰胺鍵。標記物與被標記物通過一個琥珀酰基連接到一起。該方法的優點是避免使用其他雙功能交聯劑時存在的副反應。保證標記物和蛋白質分子間的單向定量縮合,得到的結合物具有較高的標記率。
7.硫氰酸酯衍生物法
利用CSCI2先與標記物(或被標記物)的-NH2反應形成硫氰酸酯衍生物,再與被標記物(標記物)偶聯成結合物。偶聯的位置主要是賴氨酸殘基的游離氨基上。標記反應的條件溫和,獲得的結合物性質穩定,而且不損失活性。

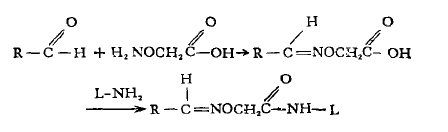
8.O-(羧甲基)羥胺法
抗原結構中的羰基(或經過反應形成的羰基)與O-(羧甲基)羥胺作用能縮合成O-羧甲基衍生物。O-羧甲基衍生物利用結構中的羧基與標記物中的氨基結合成結合物。
-hydroxylamine.png)
9.戊二醛法
戊二醛作為一個雙功能偶聯試劑可通過其兩個醛基分別與標記物及被標記物的伯氨基縮合,通過一個五碳橋偶聯成結合物。由于戊二醛在溶液中不僅以單體形式存在,而且出現大量的聚合體,故能在參與標記的雙方分子間構成較大的距離,有利于減少在抗原抗體反應時的空間阻礙。因此該方法作為標記酶的手段曾得到較多的研究。由于戊二醛法的偶聯不易定量控制并缺乏特異性,易引起同類物質的自身聚合,所以在發光免疫測定標記中未受到廣泛重視。

影響標記的因素
1.發光劑的選擇:
發光免疫測定法應根據實際需要和客觀條件的限制來選擇發光劑。由發光劑的結構性質選擇相應的標記方法。在使用環酰肼類發光劑作為標記物時,應優先選用異魯米諾及其衍生物,尤其是帶有側鏈的衍生物(ABEI、AHEI等)。這不僅是由于參加偶合反應的氨基位于支鏈端而減弱了偶合時空間位阻效應,使之更易與蛋白質等大分子連接。氨基的烷基化作用可增加芳環的量子效應,減少發光效率的損失。吖啶酯類發光劑多選用N-羥基琥珀酰亞胺活化法進行標記。此類發光劑具有比魯米諾大的發光效率,在比較溫和的條件下僅有過氧化氫和稀堿便可激發化學發光。
2.被標記蛋白的性質:
抗原作為被標記物時,應具有較高的純度和免疫學穩定性。抗體作為被標對象則要求具有較高效價。同時需要提純IgG以代替全血清制備結合物,以減少血清中所含有的某些氧化酶類妨礙結合物的穩定性,也可以排除某些發光物質干擾發光免疫測定。
3.標記方法的選擇:
標記方法之間差異較大,不同方法都有獨特的反應條件和適應對象。熟悉這些方法的原理和應用情況正確選擇與發光劑和被標記物結構特點相適應的偶聯方式是順利開展發光免疫測定法的必要條件。
4.原料比:
在制備發光劑-IgG結合物時,IgG:發光劑和交聯劑:IgG的分子濃度比(原料比)能影響結合物的發光效率。當確定一種交聯劑后,必須仔細地選擇它們之間的分子濃度比。選出最佳反應的交聯劑:IgG:發光劑的反應濃度。
5.標記率:
指結合物結構中IgG結合發光劑的分子比。由于對應于每一種發光劑或被標記物制備的結合物都有特定的最佳標記率。標記率選擇不好會造成發光效率低、不易保存和使用等現象。為確保結合物的發光效率和穩定性,應用中應當根據發光劑和被標記物的性質,通過實際實驗選擇出適用的標記率。
6.溫度:
對于比較穩定的小分子來說被標記物的溫度控制不必太嚴。而當被標記物是抗原或抗體蛋白質時,由于蛋白質對熱的不穩定性,應當在保證反應進行前提下盡量選擇低溫條件,以免在標記過程中造成蛋白質分解、變性和喪失活性。
7.純化與保存:
多數經偶合反應制備的結合物使用前都需進行純化。其主要目的是除去反應系統中存在的未結合發光劑和交聯劑。一般可利用透析法、凝膠過濾法和鹽析沉淀法等進行純化。提純的結合物應及時測定蛋白質的含量、免疫學活性和發光效率等指標。由于標記過程的不規范或存放過程中可能出現的脫落現象,對于新制備的或經較長時間保存的結合物在使用前都要測定這三項指標,以保證實驗結果準確、可靠。結合物一般可分裝保存在4-70℃條件下。最好能經過冰凍干燥保存,這可保存數年之久不喪失活性。
參考文獻
[1]韓剛毅. 發光免疫測定法的標記技術[J]. 生物化學與生物物理進展, 1987, 75(03): 28-32.
[2]林金明, 趙麗霞, 王栩. 化學發光免疫分析[M]. 北京: 化學工業出版社, 2008, 50-52.
[3]Gadow A, Fricke H, Strasburger C J , et al. Synthesis and Evaluation of Luminescent Tracers and Hapten-Protein Conjugates for Use in Luminescence Immunoassays with Immobilised Antibodies and Antigens. A critical study of macro solid phases for use in immunoassay Systems, Part II[J]. CCLM, 1984.
相關產品

蘇公網安備32011202001302