常見的化學發光試劑
化學發光分析具有靈敏度高、線性范圍寬、分析速度快以及儀器設備相對簡單等優點,已廣泛應用于生命科學、環境科學、臨床醫學和生理學等領域。本文主要就化學發平臺常見的發光試劑做一介紹。
魯米諾及其衍生物
普米諾(3-氨基苯二甲酰肼,也稱為5-氨基-苯二甲酰肼)是使用最為廣泛的化學發光試劑,許多化合物的分析都是采用普米諾發光體系。魯米諾在中性溶液中通常以偶極離子(兩性離子)存在。在堿性溶液中,則變成二價負離子,可被氧分子氧化成一種能產生化學發光現象的中間體。在氧化劑中,魯米諾被轉換為激發態,激發態衰變為基態并發出熒光。

魯米諾在化學發光反應的過程中發出藍光,最大的波長為425nm,如果溶液中混有適當的熒光染料,在魯米諾本身發光之前,魯米諾中間體可將能量傳遞給染料,可調整發光的顏色。
| 熒光染料 | / | 熒光素 | 二氯熒光素 | 羅丹明B | 9-氨基吖啶 | 曙紅 |
| 呈現的顏色 | 藍白 | 黃綠 | 黃橙 | 綠 | 藍綠 | 橙紅 |
三聯吡啶釕
三聯吡啶釕([RU(bpy)3]2+)是電化學發光劑,它和電子供體三丙胺(TPA)在陽電極表面可同時失去一個電子而發生氧化反應。三聯吡啶釕的化學發光最早由Lytle等于1966年發現,三聯吡啶釕的電化學發光是由激發態的三聯吡啶釕產生所致,發光波長約為610nm。

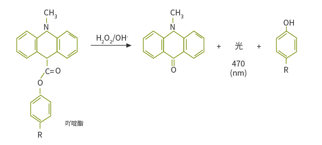
吖啶酯
吖啶酯在堿性條件下被H2O2氧化時,發出波長為470nm的光,具有很高的發光效率,其激發態產物N-甲基吖啶酮是該發光反應體系的發光體。吖啶酯加入發光啟動試劑后0.4s左右發射光強度達到最大,半衰期為0.9s左右。吖啶類化合物發光效率高、背景小、可在中性或堿性條件下標記抗原和抗體, 偶聯物的發光量子產率和生物活性幾乎不損失, 是化學發光免疫分析中重要的化學發光標記物。

吖啶酯直接化學發光是閃光型,發光時間較短,需要在極短的時間內測定發光值,因此必須采用原位進樣測定的方式。
光澤精
1935年Gleu和Petsch首次報道了光澤精(lucigenin,N,N-二甲基二吖啶硝酸鹽)與H2O2反應能夠產生化學發光現象。
光澤精以硝酸鹽的形式存在,在堿性介質中,過氧化氫與光澤精作用產生激發態的N-甲基吖啶,并發出波長為523nm的微弱光。利用光澤精與還原劑作用,可用于測定臨床醫學上一些重要的還原性物質,如抗壞血酸、肌酸酐、谷胱甘肽、葡萄糖醛酸、乳糖、葡萄糖。

AMPPD
1,2-二氧雜環丁烷類(AMPPD)的化學發光研究在我國開展較少,但是在國外已經獲得了廣泛應用。這類化合物經單分子轉變后生成了含羰基的產物,其中產物之一為激發態,放射發光。其原理如下入所示:

洛粉堿
洛粉堿(2,4,5-三苯基咪唑)是最早的化學發光試劑,1877年,Radziszewski研究發現洛粉堿在堿性介質中被過氧化氫等物質氧化可發出綠色熒光。

過氧化草酸脂類
草酸鹽類化學發光反應大都生成過氧草酰中間體,因此這類反應亦稱過氧草酰類化學發光反應。

其它發光試劑
除了上述幾種發光試劑外,還有多元酚類如連苯三酚,在H2O2存在下產生發光。四-(N-烷基氨基)-乙烯類化合物也會產生化學發光,常見的有四-(N-二甲基氨基)乙烯,它在潮濕空氣中爆炸,產生明亮的化學發光。此外還有七葉靈、硅氧烯、對氯苯基溴化鎂聯苯酰基過氧化物、金剛烷1,2-二氧雜環丁烷以及氫過氧化二甲基吲哚等。
相關產品

蘇公網安備32011202001302